New Research
shows 10-fold disparities in opioid prescribing rates between Mexican states based on SES.
Patients in Mexico receive a tiny fraction of the opioids needed for palliative care. Led by @deivigood in @TheLancetPH @chngin_the_wrld
https://cutt.ly/RkqopwW
1/
@FeliciaKnaul wrote a great editorial explaining the context:
She led @TheLancet Commission report in 2018 showing that 90% of the worlds opioids are stockpiled by the wealthiest 10% of countries, while the bottom 50% of countries have only 1% https://www.thelancet.com/journals/lanpub/article/PIIS2468-2667(21)00009-8/fulltext
She led @TheLancet Commission report in 2018 showing that 90% of the worlds opioids are stockpiled by the wealthiest 10% of countries, while the bottom 50% of countries have only 1% https://www.thelancet.com/journals/lanpub/article/PIIS2468-2667(21)00009-8/fulltext
That report found that Mexico dispensed only 5%!!!! of the opioids it would need to meet its palliative care burden.
https://www.thelancet.com/pdfs/journals/lancet/PIIS0140-6736(17)32513-8.pdf
@TheLancet @FeliciaKnaul
https://www.thelancet.com/pdfs/journals/lancet/PIIS0140-6736(17)32513-8.pdf
@TheLancet @FeliciaKnaul
@deivigood had the great idea to use Mexico's new prescription drug monitoring system to compare opioid prescription to the burden of palliative care (using data from @IHME_UW) and see how it varies by socioeconomic status (SES) between states and within cities.
The Mexican National Platform for Transparency should *theoretically* make this data easily publicly accessible.
In reality, it took almost a year, lots of back and forth, and a good lawyer to get the data from COFEPRIS.
Now it's a public resource! https://github.com/Joseph-Friedman/MEX_Opoids
In reality, it took almost a year, lots of back and forth, and a good lawyer to get the data from COFEPRIS.
Now it's a public resource! https://github.com/Joseph-Friedman/MEX_Opoids
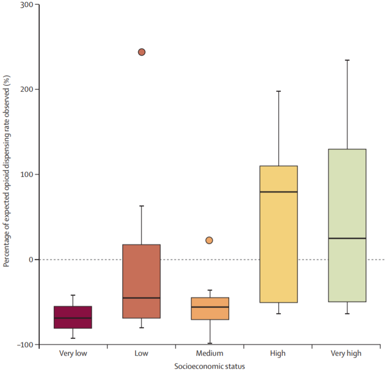
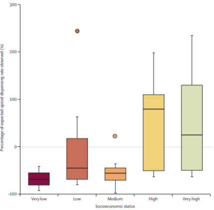
At the state-level, a 10-fold gap in prescribing gap can be seen between states by SES, after adjusting for palliative care burden.
A similar pattern can be seen within major cities in Mexico, opioids are overwhelmingly dispensed in the highest SES parts of each city.
In border cities, opioids are much more likely to be dispensed closer to the border, implying a likely link to medical tourism (Gringos coming down for elective surgeries in private hospitals as opposed to Mexican palliative care patients in the public system).
As @FeliciaKnaul highlights, Mexico cannot truly achieve universal coverage until it adequately addresses the pain and suffering of its palliative care patients.
We show that this unmet burden of suffering disproportionately falls on the poorest Mexicans.
We show that this unmet burden of suffering disproportionately falls on the poorest Mexicans.
As an aside, the US also has very pronounced social gradients of opioid prescriptions.
E.g., in CA there is a 300% difference in opioid prescription based on race/ethnicity and income. https://jamanetwork.com/journals/jamainternalmedicine/fullarticle/2723625
E.g., in CA there is a 300% difference in opioid prescription based on race/ethnicity and income. https://jamanetwork.com/journals/jamainternalmedicine/fullarticle/2723625
The world's palliative care burden is forecasted to increase massively. Low and middle income countries need to drastically increase opioid access to meet current and projected need.
This is fundamentally an issue of disparities in unnecessary suffering between rich and poor.
This is fundamentally an issue of disparities in unnecessary suffering between rich and poor.
Read on Twitter