There is much furore over Ag-LFDs again this week, with the arguments often over-simplified, & even turning toxic.
It doesn't help that the government have, & are continuing to, lie their way through the pandemic.
But that doesn't mean Ag-LFDs are all bad...
A thread
1/
It doesn't help that the government have, & are continuing to, lie their way through the pandemic.
But that doesn't mean Ag-LFDs are all bad...
A thread

1/
MHRA yesterday ruled that Ag-LFDs should not be used in schools to regularly test contacts of cases to reduce time spent in isolation.
This is a risky approach, & there is no data of the effectiveness (or cost-effectiveness), so this a fair decision.
2/ https://www.theguardian.com/world/2021/jan/14/regulator-refuses-to-approve-mass-covid-testing-schools-in-england?CMP=Share_iOSApp_Other
This is a risky approach, & there is no data of the effectiveness (or cost-effectiveness), so this a fair decision.
2/ https://www.theguardian.com/world/2021/jan/14/regulator-refuses-to-approve-mass-covid-testing-schools-in-england?CMP=Share_iOSApp_Other
This ruling, while probably correct & fair, will likely further damage public trust in testing, particularly as the debate rages on with government saying one thing and the MHRA another.
So, I thought it time for me to cut through the noise & ask - What does the data show?
3/
So, I thought it time for me to cut through the noise & ask - What does the data show?
3/
Much of the discourse over the past few months has been obsessing over the âpoorâ performance of Ag-LFDs.
The principal argument has been that the Liverpool testing pilot showed they only find 40% of infections. But does this figure actually show us anything meaningful?Â
4/
The principal argument has been that the Liverpool testing pilot showed they only find 40% of infections. But does this figure actually show us anything meaningful?Â
4/
The Liverpool community testing pilot evaluated asymptomatic testing using Ag-LFDs. They ran a sub-sample of tests of 5689 individuals, from 48 different testing sites, which were swabbed (supervised self-swab) for Ag-LFD and PCR side by side.Â
https://www.liverpool.ac.uk/media/livacuk/coronavirus/Liverpool,Community,Testing,Pilot,Interim,Evaluation.pdf
5/
https://www.liverpool.ac.uk/media/livacuk/coronavirus/Liverpool,Community,Testing,Pilot,Interim,Evaluation.pdf
5/
Results showed that PCR, run at Glasgow Lighthouse Lab, found 70 positives, whilst the Ag-LFTs found 28. This gave Ag-LFTs a sensitivity of 40%, relative to the Glasgow Lighthouse PCR assay. Relative specificity (not talking about this here today, but for context) was 99.9%.
6/
6/
However, this figure of relative sensitivity is not actually so useful, & may give (& I think has given) the wrong impression, particularly to laypersons. We must consider that this was asymptomatic testing of the general population.
7/
7/
We know that PCR is highly sensitive, some would say overly sensitive. Due to its high sensitivity, PCR testing will detect what we call post-infectious residual positives.
8/
8/
Most people test positive for a mean period of 17 days, and some for significantly longer. However, the infectious period normally lasts only up to 9 days, and is often even shorter.
9/
9/
So, when testing an asymptomatic population with PCR, a significant proportion will be post-infectious.
In L'pool, which had a â2nd waveâ just before testing pilot began, recent prevalence may have been so high that actually well over 1/2 of PCR positives were post-infectious.
In L'pool, which had a â2nd waveâ just before testing pilot began, recent prevalence may have been so high that actually well over 1/2 of PCR positives were post-infectious.
This means that, of the 60% of PCR positives Ag-LFTs missed, *a lot* (imo at least 75%+) were likely to be post-infectious.
We donât actually want to find these people, as it results in unnecessary quarantine.
11/
We donât actually want to find these people, as it results in unnecessary quarantine.
11/
It is also worthy to note that this was *a pilot* - and a learning process. Further training & knowledge can improve results & interpretation over time. After re-appraisal of results, the relative sensitivity rose to 53%.
12/
12/
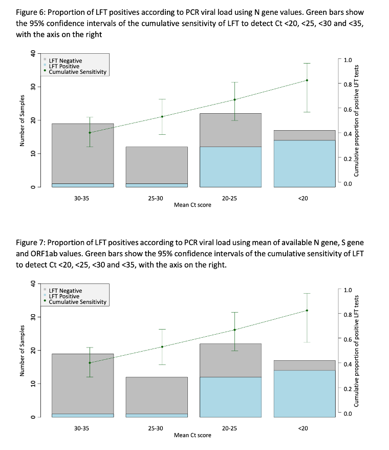
Using the re-appraised data set, we can break the results down further by CT values. The relative sensitivity of Ag-LFDs below CT 20 was 89.5%, below CT 25 was 78.3%, and below CT 30 was 70.4%. (Original data-set figure was 82.4%, 66.7%, and 52.9% respectively).
13/
13/
But how do CT values relate to infectiousness? This is rather complex, especially for twitter, but Iâm going to try. The truth is, there is no âexactâ amount of virus which results in infectiousness. But, broadly speaking, the most infectious cases will have a higher viral load.
It is also important to note that CTs are not linear, and so what sounds like a small difference of a few numbers is actually on a log scale & so is huge difference. Good blog with a neat video on this here.
15/
https://www.rapidtests.org/blog/antigen-tests-as-contagiousness-tests
15/
https://www.rapidtests.org/blog/antigen-tests-as-contagiousness-tests
Viral culture, while not a perfect measure of infectiousness, is arguably the best (published) thing we've got. Evidence suggests that a virus isolation rate of ca. 20% in cell culture is reached after the first week of symptoms. This correlates with the end of transmissibility.
The @c_drosten paper suggests that this is in the range of the limit of detection for most Ag-LFDs (under laboratory conditions), meaning the time when Ag-LFDs may be reliable detector and a broad indicator of the infectious period (under lab conditions).
17/
17/
Side note â Although I'm going to try summarise, I would really recommend anyone in the media talking about Ag-LFD sensitivity to put the Liverpool pilot data into the context of the @c_drosten paper here.
18/
https://www.medrxiv.org/content/10.1101/2020.11.12.20230292v1.full.pdf
https://www.liverpool.ac.uk/media/livacuk/coronavirus/Liverpool,Community,Testing,Pilot,Interim,Evaluation.pdf
18/
https://www.medrxiv.org/content/10.1101/2020.11.12.20230292v1.full.pdf
https://www.liverpool.ac.uk/media/livacuk/coronavirus/Liverpool,Community,Testing,Pilot,Interim,Evaluation.pdf
How does this relate to Liverpool data? Well, analysis from viral copies/mL from Lighthouse lab studies suggest that 7.5M RNA copies/mL would correlate to a CT value < 18. Even without re-appraisal, the Liverpool data would find over 90% of these cases with over 7.5M copies/mL.
What does this mean then? It means the figure of 40% sensitivity is somewhat meaningless. What matters with COVID testing is catching *infectious* people.
20/
20/
From my analysis of the data it suggests that, even in real-world conditions with a supervised self-swab, the Innova LFD will catch most people who are infectious at the time of the swab.
It will certainly detect more than 40%, with this data suggesting it could be >90%.
21/
It will certainly detect more than 40%, with this data suggesting it could be >90%.
21/
FYI - I don't want 90% figure to be taken out of context.
Imo it is still more complex than this, & may not be as high as 90%. & the nature of SARS-CoV2 means someone can be non-infectious when swabbed, & a few h later be highly infectious. But, it is defo higher than 40%.
22/
Imo it is still more complex than this, & may not be as high as 90%. & the nature of SARS-CoV2 means someone can be non-infectious when swabbed, & a few h later be highly infectious. But, it is defo higher than 40%.
22/
Now, this doesnât mean the test is perfect, & there are many caveats. We must accept that infectious will be missed, that it is difficult to determine exactly how many, & that there will always be outliers who are infectious even at lower detected viral load.
23/
23/
Also, tests are only a snapshot of the moment the sample was taken.
For balance, Twitter 'data' from hospital testing suggests false negative rate of infectious individuals might be around 30%.
24/ https://twitter.com/invadingpirate/status/1350126727842955265?s=20
For balance, Twitter 'data' from hospital testing suggests false negative rate of infectious individuals might be around 30%.
24/ https://twitter.com/invadingpirate/status/1350126727842955265?s=20
But, the âgold standardâ PCR test is not perfect either. It is possibly oversensitive for asymptomatic blanket âscreeningâ and, perhaps more importantly, the turnaround time (in western countries) is simply *too slow* to be really effective at controlling transmission.
25/
25/
Most of the discourse over LFDs has been about its low sensitivity compared to PCR, but I think, in terms of finding infectious people, the sensitivity isnât so low as many are trying to make out. And it misses the real utility of these tests â speed and frequency.
26/
26/
This figure shows how frequency of testing, even with a much lower sensitivity test, is more likely to find an infectious case than less frequent testing with a more highly sensitive test.
https://www.nejm.org/doi/full/10.1056/NEJMp2025631
27/
https://www.nejm.org/doi/full/10.1056/NEJMp2025631
27/
And, importantly, viral growth in the body is (sort of) exponential - there may be only a relatively short interval between turning infectious positive on a LFD & PCR.
28/
28/
Furthermore, test turnaround time is crucial for contact tracing â currently many PCR tests take over 3 days to return results... This gives contact tracing little time to reach contacts before onwards transmission has occurred.
29/ https://twitter.com/ADMBriggs/status/1349839637951488000?s=20
29/ https://twitter.com/ADMBriggs/status/1349839637951488000?s=20
Immediate identification, isolation, and contact tracing of cases with high amount of virus in their nose/throat can have significant impacts on transmission, and we are likely to also find more cases...
30/
30/
If used correctly, Ag-LFDs can be particularly useful for outbreak response testing (frequency testing around cases, ideally in parallel with PCR), cluster identification, and frequent testing of vulnerable and high transmission groups such as NHS staff and key workers.
31/
31/
Such testing can also focus resources so that we spend less time & energy tracing non-infectious, or low risk of infectiousness, cases after onwards transmission has occurred (low yield), & more time on most infectious cases, before onwards transmission has occurred (high yield).
This isnât the whole story though, & there are sig behavioral challenges here â we donât really understand how or whether peopleâs behavior changes after a neg test. I suspect whatever people say in surveys, that it does change some behavior & make them slightly more ârelaxed.â
A neg test should not be used to drop infection control behaviours. This risk must be communicated. There is no good data for test-to-enable yet, and that is why the MHRA ruling was right and fair.
And people with (even mild) symptoms must isolate, regardless of neg test.
34/
And people with (even mild) symptoms must isolate, regardless of neg test.
34/
And, RE schools & vulnerable environments, swabbing is uncomfortable, time consuming, & can be stressful/traumatizing.
However, I would point out that having schools closed, or a large proportion of students & staff off, also has significant harms & isnât a great option eitherâŠ
However, I would point out that having schools closed, or a large proportion of students & staff off, also has significant harms & isnât a great option eitherâŠ
In conclusion, blanketly comparing the sensitivity of Ag-LFTs from asymptomatic testing to PCR is unhelpful. The issue is far more complex & nuanced than suggesting the tests are 40% accurate (or 3%...).
36/
36/
It is also far more complex than the government make out, who repeatedly claim in official documents that âthese tests are as accurate as PCR.â
37/
37/
If rolling out these tests, we do need quality pilot data (or at least continuous evaluation) for each & every context they are going to be used in (schools, care homes, key workers etc). Real-world implementation is very complex, as found here.
38/ https://ltccovid.org/2020/11/24/rapid-covid-19-testing-in-care-homes-in-germany-easier-said-than-done/
38/ https://ltccovid.org/2020/11/24/rapid-covid-19-testing-in-care-homes-in-germany-easier-said-than-done/
And I question if test to enable is a good policy â would certaintly need quality data if I were to support it, especially for high risk people like contacts.
People with mild symptoms MUST still isolate even if they have a neg test. A red light, not a green light, test.
39/
People with mild symptoms MUST still isolate even if they have a neg test. A red light, not a green light, test.
39/
I also question if blanket asymptomatic testing is effective, or a good use of resources.
I think focussed regular testing of vulnerable groups (key workers etc) and focussed outbreak response best uses.
40/
I think focussed regular testing of vulnerable groups (key workers etc) and focussed outbreak response best uses.
40/
But, as much as it may be appealing for headlines saying âgovernment has failed again,â it is important to recognize that these tests probably really can be a very important public health tool.
41/
41/
The public are confused. Even many PH practitioners are. Given the importance of this issue, the scientific community has a responsibility to communicate evidence clearly & in context, & not cherry-pick datapoints either way.
42/
42/
Its also possibly important to be aware that, while our government and Liverpool have taken a lot of slack on rapid testing, almost everywhere in Europe is âevaluatingâ the use of these tests, with varying degrees of success (and caution).
43/
43/
There is certainly a need for quality pilots & a step-by-step roll-out, although, given the health, social, & economic harms of the pandemic, time is of course of the essence. But, it is my view that, if used correctly, these tests really can be an important PH tool.
44/
44/
This thread was mainly just about how the discourse around Ag-LFTs needs a reset. Whilst accepting the significant & various complexities & uncertainties on this topic, Ag-LFDs are far more effective at detecting infectious cases than the headline 40% figure would suggest.
45/
45/
And we must accept the limitations of the current testing strategies with PCR which, lets face it, all across Europe have failed to control transmission - With Ag-LFDs, we must not let perfect be the enemy of good.
Effectiveness & cost-effectiveness of any testing strategy must be evaluated before large-scale roll-out. Random cluster trials are ethically challenging, but I think justified (and very much needed) to evaluate how best to use these tests in each context.
46/
46/
We will hopefully publish on testing strategies, and how Ag-LFDs can possibly be integrated into them, shortly.
But, more important than anything I've said so far, testing will only reduce transmission if a positive test results in an intervention.
47/
But, more important than anything I've said so far, testing will only reduce transmission if a positive test results in an intervention.
47/
Test uptake and self-isolation will be much reduced if individuals cannot afford, or are not supported to, self-isolate. It is simply ridiculous to roll out large-scale testing without comprehensive #SupportToIsolate, as I outline here.
https://www.theguardian.com/commentisfree/2021/jan/08/lockdowns-workers-restrictions-self-isolate?utm_term=Autofeed&CMP=twt_gu&utm_medium&utm_source=Twitter#Echobox=1610106231
End
https://www.theguardian.com/commentisfree/2021/jan/08/lockdowns-workers-restrictions-self-isolate?utm_term=Autofeed&CMP=twt_gu&utm_medium&utm_source=Twitter#Echobox=1610106231
End
Read on Twitter