We have done the numbers. We can now share how many Māori and Pacific academics there are up to 2019, and yeah it doesn’t look much different https://tinyurl.com/y4shtwuc  1/n
As we found in Why isn’t my Professor Māori/Pasifika? this new data shows that Māori and Pacific academics continue to be under-represented in NZ unis. 2/n
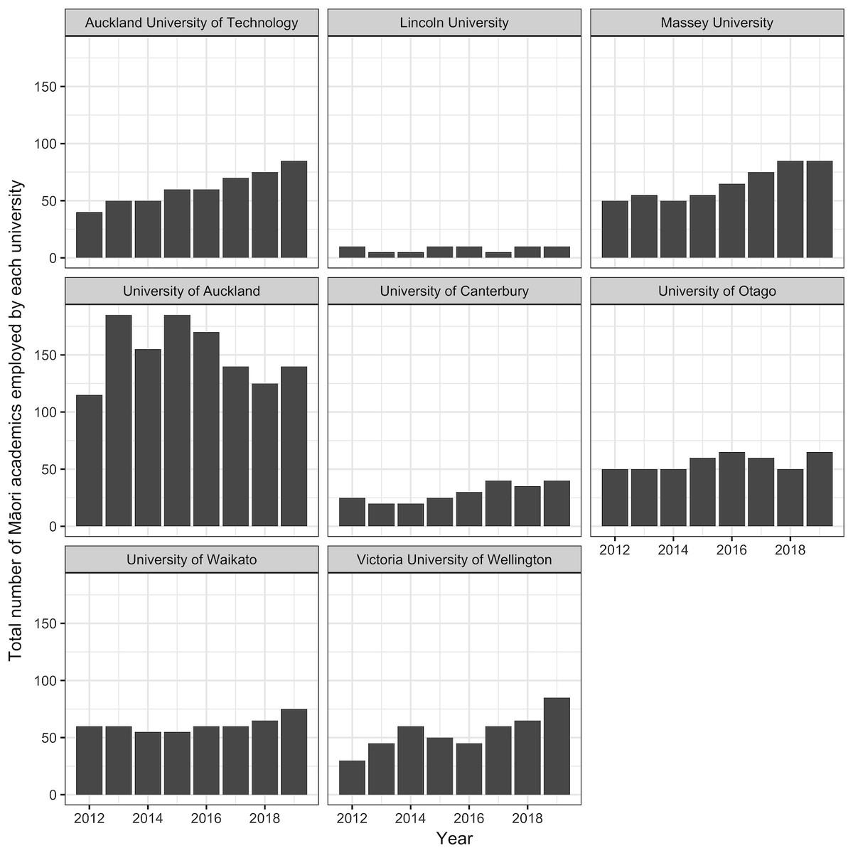
Māori make up 5.6% of all academics with 37.9% being employed as “Other academics”. All universities with the exception of Lincoln University employed more Māori academic staff in 2019 than they did in 2012 but there is still significant work to do 3/n
In 2019, Pacific Peoples continue to make up 1.6% of the academic workforce. The number of Pacific academics employed exceeds 30 only two universities. There is still so much work to do in recruitment, retention and promotion of Pacific. 4/n
We chose to share this data now and not wait for a peer-review process because of the state of our sector. Many of us are worried about our jobs and our colleagues and we wanted to give you one more tool as you continue to fight for our communities 5/n
That said - you know there is another paper coming from this data so keep an eye out for it. We have the wizard Jesse Kokaua crunching numbers for us - it is going to be good! 6/n
tēnā rawa atu koutou, vinaka vaka levu, meitaki @taramcallister4 @JoannaKidman @MoanaTheodore and Jesse Kokaua for all the work behind the scenes to get this data update out.
You can follow @SereanaNaepi.
Tip: mention @twtextapp on a Twitter thread with the keyword “unroll” to get a link to it.

Latest Threads Unrolled:

By continuing to use the site, you are consenting to the use of cookies as explained in our Cookie Policy to improve your experience.