COVID-19 transmission questions: If we can help demystify "where, who, how long" risks maybe we can focus energy on the BEST prevention (because it's exhausting and diminishing returns set in fast... e.g. I hand wash a LOT but don't otherwise fuss about groceries/packages).../1
I've been looking at this paper by Luo et all since mid April (it was available by preprint) and it's really useful. Setting: China, data from 391 COVID-19 cases and their 3410 close contacts (who were identified, and quarantined under medical observation with daily testing) /2
Contacts were traced within 24h, from 2 days before Sx or 2d before test if no Sx, cell phone data was used for tracing on public transportation by proximity, and they had daily testing. OVERALL 3.7% of contacts were infected, 0.2% of which were asymptomatic but test positive. /3
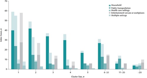
Most (83%) of secondary cases were from household contact - then 9% in workplaces, 6% in healthcare, <1% of public transport, and 2% had multiple settings. (larger clusters of contacts were seen w/ transport, healthcare and entertainment venues/workplaces, but few
cases) /3
cases) /3
Contacts developed symptoms 2 days after their last contact with their index case, the risk was highest for household contacts (10%), then healthcare )1%) then public transport (0.1%). Cases without symptoms transmitted to 0.3% of contacts, mild to 3%, moderate to 6% .../4
and severe or critical cases to 6.2%: those with fever transmitted to 6% of contacts and expectoration to 14% of their contacts. Secondary cases probably better represent the true range of severity of infection because they were found rather than coming in sick.../5
....in 121 infected contacts, 7% had no symptoms, 15% mild, 70% moderate, 9% severe.
I think these numbers tell us that the longer term, closer contacts, meal sharing in household is a big risk, but even so you have a 1/10 chance of infection from someone in your household .../6
I think these numbers tell us that the longer term, closer contacts, meal sharing in household is a big risk, but even so you have a 1/10 chance of infection from someone in your household .../6
which is lower than many might guess - plus in other studies avoiding common areas and precautions like masking in the home reduced that risk a lot. The observation that sicker people spread infection more, and older people are at higher risk is also useful. Transportation.../7
(bus and train) risk was a lot lower (RR .01 compared to household) than you'd guess but because there are large numbers of contacts in those settings precautions still make sense. There were 357 contacts who were kids (under 17) ears old who were monitored.../8
with only 3.9% infected - versus 8% of those over 60.
Also in the index cases - only 13 (5%) were <17 year old, and they had an average of 10 contacts each and this resulted in 14 secondary cases.
More data on the age/school closure/age of secondary cases isn't presented.../9
Also in the index cases - only 13 (5%) were <17 year old, and they had an average of 10 contacts each and this resulted in 14 secondary cases.
More data on the age/school closure/age of secondary cases isn't presented.../9
Mentioning that as the children transmission debates rage -timely, but this doesn't add a lot to understanding transmission from kids except to note the overall small contribution to index cases in this setting, as kids are about 17% of the population but 5% of the index cases./9
Useful observations: increasing transmission with symptom severity, and risk with age, and household risk highest (at 10% of contacts in this setting).
Also - reaffirms isolation with symptoms, suggests transportation risk isn't all that high.
http://shorturl.at/qrtKU
/fin
Also - reaffirms isolation with symptoms, suggests transportation risk isn't all that high.
http://shorturl.at/qrtKU
/fin
Read on Twitter