Pre-print of #RECOVERY RCT shows actual data about reduced #COVID mortality with #Dexamethasone:
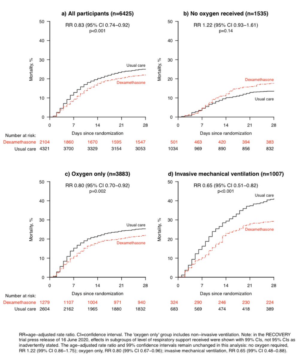
- mortality 21.6% compared to 24.6% w/ usual care
- greatest benefit in sickest patients
- for pt on MV the NNT is 8 (wow!)
- no data about secondary infxn
https://www.medrxiv.org/content/10.1101/2020.06.22.20137273v1
- mortality 21.6% compared to 24.6% w/ usual care
- greatest benefit in sickest patients
- for pt on MV the NNT is 8 (wow!)
- no data about secondary infxn
https://www.medrxiv.org/content/10.1101/2020.06.22.20137273v1
Some observations:
- huge study: 6425 patients; 15% of #COVID inpatients in the UK
- pragmatic design: a lot of data wasn’t collected (no labs, vitals, vent settings, etc)
- in addition to the 3% decrease in mortality w/ dex there was a 3.5% increase in hospital d/c at day 28
- huge study: 6425 patients; 15% of #COVID inpatients in the UK
- pragmatic design: a lot of data wasn’t collected (no labs, vitals, vent settings, etc)
- in addition to the 3% decrease in mortality w/ dex there was a 3.5% increase in hospital d/c at day 28
Why did intubated #COVID patients appear to benefit more from #dexamethasone?
- they were farther from symptom onset. Maybe they were in a less viremic and more inflamed stage?
- intubated pt were younger and had fewer comorbidities, exactly the opposite of what I’d expect. Why?
- they were farther from symptom onset. Maybe they were in a less viremic and more inflamed stage?
- intubated pt were younger and had fewer comorbidities, exactly the opposite of what I’d expect. Why?
Another odd finding:
- the mortality in the group that did NOT require supplemental O2 seems awefully high at 13.2%.
- though not (quite) significant the mortality appears to have increased to 17% with dexamethasone
- the mortality in the group that did NOT require supplemental O2 seems awefully high at 13.2%.
- though not (quite) significant the mortality appears to have increased to 17% with dexamethasone
On the other hand the effect size in is huge:
- among intubated patients with #COVID, #dexamethasone decreased mortality from 40.7% to 29%
- the NNT is 8 to prevent mortality
- it doesn’t get much better than this in ICU studies
- among intubated patients with #COVID, #dexamethasone decreased mortality from 40.7% to 29%
- the NNT is 8 to prevent mortality
- it doesn’t get much better than this in ICU studies
For me, the bottom line on #RECOVERY is:
- large pragmatic study
- some missing data and a few odd details; still probably applicable to my practice
- compelling data that COVID pts who are intubated or on O2 benefit from dexamethasone
- if I’m intubated from COVID give me dex!
- large pragmatic study
- some missing data and a few odd details; still probably applicable to my practice
- compelling data that COVID pts who are intubated or on O2 benefit from dexamethasone
- if I’m intubated from COVID give me dex!
Read on Twitter